全讯网-全讯网.www.7897899_百家乐游戏筹码_全讯网一字解一肖 (中国)·官方网站

En

物理與光電工程學院王健教授團隊提出了一種新的塞曼量子幾何張量

來源:物理與光電工程學院 發布時間:2025-03-21 16:54 點擊數: Views

近日,深圳大學物理與光電工程學院王健教授團隊在物理學期刊Physical Review Letters發表了題為“Intrinsic Gyrotropic Magnetic Current from Zeeman Quantum Geometry[Phys. Rev. Lett.134, 116301 (2025)]”的理論研究成果,提出了一種新的塞曼量子幾何張量,并預言其可以在量子材料中誘導出新奇的旋磁電流效應。

量子幾何是描述凝聚態物理中新奇物理現象的核心數學工具之一。量子幾何張量的虛部貝里曲率與實部量子度規,能夠誘導產生各種線性與非線性霍爾電流響應。例如,貝里曲率是內稟線性反常霍爾效應的微觀起源,量子度規對應了內稟線性位移電流;量子幾何的高階量,如貝里曲率偶極矩和量子度規偶極矩,分別能夠誘導外稟與內稟的二階非線性霍爾效應。當前量子幾何研究的一個重要方向是探索超越傳統貝里曲率和量子度規的新型量子幾何結構及其誘導的物理效應。

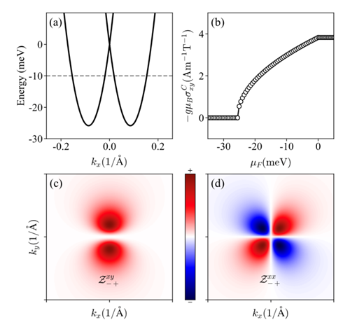
傳統量子幾何的定義僅考慮了晶格動量自由度。針對這一局限,王健教授團隊將自旋自由度納入量子幾何的理論框架,首次提出了同時關聯動量平移與自旋旋轉的新型量子幾何,即塞曼量子幾何張量,其虛部對應塞曼貝里曲率,實部對應塞曼量子度規。進一步研究表明,當利用交變磁場調控材料中電子的自旋時,塞曼貝里曲率可以在自旋軌道耦合體系中誘導出內稟的旋磁電流響應。研究團隊利用對稱性分析證明該效應具有廣泛的材料適用性,并結合具體模型計算進行了驗證(圖1)。論文還討論了內稟旋磁電流的實驗探測方案,為觀測塞曼量子幾何相關的新奇物理現象提供了可行路徑。

圖1 Rashba模型中塞曼幾何誘導的旋磁電流響應

王健教授團隊的助理教授向龍俊是論文的第一作者,中國科學技術大學博士生賈進雄是共同第一作者,王健為通訊作者,物理與光電工程學院教授許富明和中國科學技術大學教授喬振華參與了研究工作。深圳大學是論文的第一單位和通訊單位。該工作得到了國家自然科學基金項目以及深圳市高端人才科研啟動經費的支持。

論文鏈接:https://journals.aps.org/prl/abstract/10.1103/PhysRevLett.134.116301

大发888娱乐场注册| 威尼斯人娱乐场是真的吗| 历史百家乐官网路单图| 葡京娱乐城姚记| 现场百家乐官网投注| 做生意风水| 娱乐城注册送彩金| 网上百家乐官网是假还是真的 | 百家乐官网打法分析| 百家乐真人游戏开户| 棋牌娱乐| 新濠国际| 百家乐开户送百元| 大发888大法8668| 圣安娜百家乐官网包杀合作| 玩百家乐官网新2娱乐城| 微信百家乐官网群二维码| 大发888官方 df888gfxzylc8| 澳门百家乐官网网上娱乐场开户注册| 威尼斯人娱乐城首存优惠| 澳门百家乐官网什么规则| 百家乐合| 百家乐如何赚钱洗码| 鸡泽县| tt百家乐的玩法技巧和规则| 博彩百家乐官网网址| 利赢百家乐官网现金网| 玩百家乐平台| 新葡京百家乐官网现金| 极速百家乐真人视讯| 荔浦县| 阿鲁科尔沁旗| 江山百家乐的玩法技巧和规则| 嬴澳门百家乐官网的公式| 大发888bet亚洲lm0| 百家乐小游戏开发| 百家乐官网游戏台| 亚洲百家乐博彩的玩法技巧和规则| 百家乐官网家居 | 孝昌县| 布加迪百家乐官网的玩法技巧和规则 |